Web Analytics Made Easy - Statcounter
winter month dan word Dan & ryan 15th at usatf championships

winter month dan word Dan & ryan 15th at usatf championships

Prostate cancer awareness month – dan's journey through prostate cancer

If you are looking for Pin by jarang on gj | Asian outfits, Fashion outfits, Fashion you've came to the right place. We have 35 Pics about Pin by jarang on gj | Asian outfits, Fashion outfits, Fashion like Converted Paul Dan Word at Cynthia Warren blog, Random Acts Of Kindness Day Of Winter Month Calendar February Royalty and also Beyond the Noise: A White Male's Perspective on Black History Month. Here you go:

Pin By Jarang On Gj | Asian Outfits, Fashion Outfits, Fashion

Pin by jarang on gj | Asian outfits, Fashion outfits, Fashion www.pinterest.com

Prostate Cancer Awareness Month – Dan's Journey Through Prostate Cancer

Prostate Cancer Awareness Month – Dan's Journey through Prostate Cancer dansjourney.com

Merry Christmas Sticker, Card, Flyer For Winter Month. New Year Gifts

Merry Christmas Sticker, card, flyer for winter month. New Year Gifts www.vecteezy.com

Katie Goulder - Northeastern University College Of Science

Katie Goulder - Northeastern University College of Science cos.northeastern.edu

December 25th. Day 25 Of Month,Simple Calendar Icon On White Background

december 25th. Day 25 of month,Simple calendar icon on white background stock.adobe.com

Merry Christmas Sticker, Card, Flyer For Winter Month. New Year Gifts

Merry Christmas Sticker, card, flyer for winter month. New Year Gifts www.vecteezy.com

1982 Rickman Metisse Honda Cb750 - Bike Years - 1980s

1982 Rickman Metisse Honda Cb750 - Bike Years - 1980s 1980s.bikeyears.com

Random Acts Of Kindness Day Of Winter Month Calendar February Royalty

Random Acts Of Kindness Day Of Winter Month Calendar February Royalty cartoondealer.com

Merry Christmas Sticker, Card, Flyer For Winter Month. New Year Gifts

Merry Christmas Sticker, card, flyer for winter month. New Year Gifts www.vecteezy.com

Calendar 2025 January With Illustration Shining Polygonal Snake, Modern

Calendar 2025 January with illustration shining polygonal snake, modern www.vecteezy.com

Aston Villa Trio Among 9 Prem Players Who Could Still Leave This Month

Aston Villa trio among 9 Prem players who could still leave this month www.hitc.com

Converted Paul Dan Word At Cynthia Warren Blog

Converted Paul Dan Word at Cynthia Warren blog xcjiqrfhcmjmzpe.s3.amazonaws.com

Exclusive: Chelsea's £13m Brazil International Could End Up At

Exclusive: Chelsea's £13m Brazil international could end up at www.hitc.com

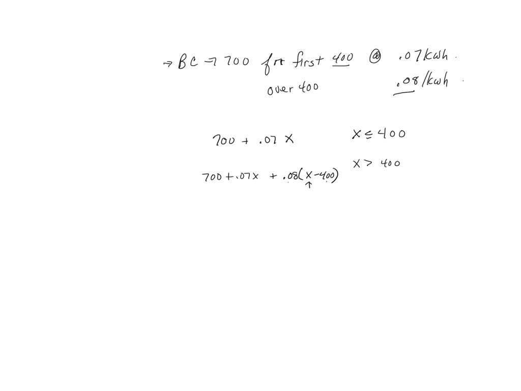
SOLVED: The Table To The Right Shows The Electricity Rates Charged By

SOLVED: The table to the right shows the electricity rates charged by www.numerade.com

ボード「MAD SUMMER」のピン【2024】 | ゴージャスな女性, 女性, ゴージャス

ボード「MAD SUMMER」のピン【2024】 | ゴージャスな女性, 女性, ゴージャス za.pinterest.com

Merry Christmas Sticker, Card, Flyer For Winter Month. New Year Gifts

Merry Christmas Sticker, card, flyer for winter month. New Year Gifts www.vecteezy.com

Savory Italian Meatball Soup (Frozen Meatballs) | Salty Side Dish

Savory Italian Meatball Soup (Frozen Meatballs) | Salty Side Dish www.saltysidedish.com

Advocate Of The Month | Pete Piferi — CASA OC

Advocate of the Month | Pete Piferi — CASA OC www.casaoc.org

Winter Dental Care For Protecting Your Smile In Cold Weather

Winter Dental Care for Protecting Your Smile in Cold Weather brooklindentalcentre.com

Word Wipe - Speel Online Op SilverGames 🕹️

Word Wipe - Speel Online op SilverGames 🕹️ www.silvergames.com

Beyond The Noise: A White Male's Perspective On Black History Month

Beyond the Noise: A White Male's Perspective on Black History Month brownicity.com

Prostate Cancer Awareness Month – Dan's Journey Through Prostate Cancer

Prostate Cancer Awareness Month – Dan's Journey through Prostate Cancer dansjourney.com

Top 5 Reasons To Travel To Mukteshwar In The Winter Month - Chirping

Top 5 Reasons to Travel to Mukteshwar in the Winter Month - Chirping chirpingorchard.com

Merry Christmas Sticker, Card, Flyer For Winter Month. New Year Gifts

Merry Christmas Sticker, card, flyer for winter month. New Year Gifts www.vecteezy.com

Newcastle Target Now Waiting For Nottingham Forest To Sign Him This Month

Newcastle target now waiting for Nottingham Forest to sign him this month www.hitc.com

Merry Christmas Sticker, Card, Flyer For Winter Month. New Year Gifts

Merry Christmas Sticker, card, flyer for winter month. New Year Gifts www.vecteezy.com

Baked Candy Potatoes - Price Range Bytes - Googlechrom.casa

Baked Candy Potatoes - Price range Bytes - googlechrom.casa www.googlechrom.casa

Dan & Ryan 15th At USATF Championships - ZAP Endurance

Dan & Ryan 15th at USATF Championships - ZAP Endurance zapendurance.com

Maxillaria – Orchids For The People

Maxillaria – Orchids for the People orchidpeople.com

February 2024 Issue

February 2024 Issue lifeachangingkaleidoscope.beehiiv.com

February Coloring Pages – Cute Coloring Page

February Coloring Pages – Cute Coloring Page cutecoloringpage.com

The New Yard Pattern Book - OUTSIDE Collab

The New Yard Pattern Book - OUTSIDE Collab outsidecollab.com

Merry Christmas Sticker, Card, Flyer For Winter Month. New Year Gifts

Merry Christmas Sticker, card, flyer for winter month. New Year Gifts www.vecteezy.com

10 Unique WINTER Irish BABY NAMES And Their Meanings

10 unique WINTER Irish BABY NAMES and their meanings www.irelandbeforeyoudie.com

December Coloring Pages (Free Printable PDF)

December Coloring Pages (Free Printable PDF) coloringus.com

Merry christmas sticker, card, flyer for winter month. new year gifts. Prostate cancer awareness month – dan's journey through prostate cancer. Merry christmas sticker, card, flyer for winter month. new year gifts